新发现!每天一杯咖啡或三杯茶更健康
陪伴你白天伏案工作或者深夜加班的,是一杯散发着浓郁香气的咖啡,还是一盏碧波荡漾的清茶?
“柴米油盐酱醋茶”,茶是中国人生活中不可分割的一部分;咖啡不仅是当代打工人的续命神器,也是生活中的小确幸。过去的研究表明,茶和咖啡有很多健康益处。最近BMC Medicine期刊上发表了一篇题为“Consumption of coffee and tea with all-cause and cause-specific mortality:a prospective cohort study”的研究论文,结果提示每天喝一杯咖啡或三杯茶,死亡风险最低。

FITQNEWS
壹
咖啡或茶多少是适量?
咖啡和茶已经成为今天人们饮食模式的一部分。流行病学研究发现,饮用咖啡或茶与心血管疾病、2型糖尿病和食道癌等非传染性疾病有关。但也有证据表明,单独饮用咖啡或茶与死亡率有关,然而对于关联的形状存在争议,因为不同的研究发现,单独的咖啡和茶的消费量与死亡率之间存在不同类型的U型、J型、线性或零关联。
例如有研究报道咖啡与死亡率之间存在U型关联,每天喝2~4杯咖啡时,死亡风险最低。但另一项研究却说即使是每日饮用8杯及以上的人群,咖啡消费与死亡率也呈负相关。之所以认为过量摄入咖啡和茶对健康有害,是因为咖啡和茶均含有咖啡因,需要进一步的研究才能确定咖啡和茶的摄入量对死亡率的影响。
FITQNEWS
贰
每天一杯咖啡或三杯茶,
全因死亡风险最低
为了明确咖啡和茶与总死亡率及特定原因死亡率(包括心血管疾病、呼吸系统疾病和消化系统疾病)的关联,天津医科大学的王耀刚团队开展了这项研究。他们分析了英国生物银行数据库的498 158例参与者,年龄在37~73岁之间,通过问卷形式收集了参与者咖啡和茶的饮用量,从国家死亡登记处获得全因和特定原因死亡率,据此分析了咖啡和茶的消费与全因死亡率和特定原因死亡率的关系。
结果显示,每天喝一杯咖啡或三杯茶,死亡风险最低。
研究结果(详细版)
大部分人每天喝咖啡1~2杯、每天喝茶2~4杯,比例分别为46.1%和43.7%。在平均12年的随访期间,共记录了34699例参与者死亡。其中,6663人死于心血管疾病,6018人死于呼吸系统疾病,2864人死于消化系统疾病。
单独分析发现:单独喝咖啡与全因、心血管疾病和呼吸系统疾病死亡率呈J型关联;此外,单独喝咖啡或茶与消化系统疾病死亡率之间也存在反J型关联(图1)。

图1.单独喝咖啡与死亡率关系
单独喝茶与呼吸系统疾病死亡率之间存在J型关联,与全因死亡率和心血管疾病死亡率呈反向J型关联(图2)。

图2.单独喝茶与死亡率关系
观察上面两幅图,可以发现每天喝一杯咖啡或三杯茶,全因、心血管疾病和呼吸系统疾病死亡风险最低。每天5杯咖啡或6杯茶的人,消化系统疾病死亡率最低。
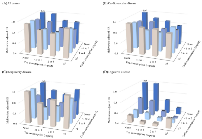
联合分析茶和咖啡后发现(图3):
喝咖啡少的人:茶消费量的增加几乎与全因死亡率呈线性相关,也就是喝茶越多,死亡风险越低;
对于喝咖啡多的人:茶消费量和全因死亡率呈U型。
不管喝茶量多少,咖啡消费量与全因死亡率呈U型关系。

图3.咖啡和茶的综合消费与死亡关系
综合看,与既不喝咖啡又不喝茶的人相比,每天喝1~2杯咖啡和2~4杯茶的人死亡风险最低,其中全因死亡风险降低22%,心血管死亡风险降低24%,呼吸系统疾病死亡风险降低31%。此外,对于每天喝小于1~2杯咖啡和大于5杯茶的人,消化系统疾病的死亡率最低。
FITQNEWS
叁
为什么喝咖啡和茶
可以降低死亡风险
目前还不十分清楚咖啡和茶降低死亡风险的确切机制。研究者认为有几种可能:
首先,咖啡和茶都含有生物活性成分,例如咖啡因和儿茶素,它们在抗氧化、抗炎、降低血压、改善胰岛素抵抗等方面发挥重要作用。
其次,咖啡和茶中含有除咖啡因和绿原酸之外,具有保护作用的生物活性物质。目前咖啡中已知的有葫芦巴碱、黑色素、镁和咖啡醇,这些化合物都具抗氧化特性,可以降低死亡率。茶含有某些独特的化合物,例如表儿茶素、儿茶素、表没食子儿茶素没食子酸酯(EGCG)和其他类黄酮,可以缓解动脉粥样硬化、清除氧自由基并减轻炎症。
第三,许多研究表明,喝咖啡或茶可以改善血压、葡萄糖和甘油三酯。
第四,喝咖啡和茶对于吸烟和饮酒有一定作用。例如对于饮酒,咖啡因会阻断酒精腺苷A1受体,从而拮抗酒精的不利影响。
第五,饮用咖啡和茶对消化系统有益,是因为咖啡和茶中的某些成分具有促进胆汁酸分泌和粪便排出的功能,可以改善肠道微生物群,最终改善消化系统的内环境。
FITQNEWS
肆
选咖啡这点很重要
许多生酮达人会用一杯防弹咖啡开启一天。咖啡最好选择有机的。可能不少人对这个词还比较陌生,什么是有机?为什么要选择有机?怎样才叫有机咖啡?
有机咖啡强调不用化学肥料和农药,而是用有机、天然肥料并采取遮阴栽培,此外,第三方的认证机构会对农场的水质、土壤、环境、用药等进行检测,符合条件才给予有机认证。在有机黑咖啡中加入有机MCT油和草饲酥油制作的防弹咖啡可以帮助达到更长时间的断食。但尽量不要在咖啡中添加糖或糖浆之类的调味剂。
FITQNEWS
伍
生酮也喝茶
生酮期间是可以喝茶的,但是尽量不要添加糖。茶有很多种类,包括黑茶、白茶、乌龙茶、红茶、黄茶和绿茶。因为发酵程度的不同,发酵程度最低的绿茶、白茶的儿茶素水平最高,而发酵程度最高的黑茶、红茶和乌龙茶儿茶素水平较低,而茶黄素恰好相反,绿茶中最少,红茶和乌龙茶中较高。
香醇浓郁,沁人心脾的防弹抹茶也是很多生酮达人的心头好。抹茶是以优质绿茶为原料,鲜叶采摘后经过蒸青、冷却、干燥、碾磨等工艺制成的翠绿色粉末,与普通泡茶饮汤的方式不同的是,抹茶是以“吃茶”的方式饮用下去。根据相关研究,抹茶含有丰富的、人体所必需的30多种营养成分和微量元素,一杯抹茶的营养成分相当于30杯绿茶。值得注意的是,抹茶里富含EGCG,EGCG是绿茶中预防癌症最有效的多酚类化合物。
你一天喝几杯咖啡或茶呢?